
Marcelo Gabriel – head do After.Lab [email protected]
Já faz algum tempo que os finais de ano não são mais como eram antes. Lembro que quando comecei no mercado de reposição as duas primeiras semanas de dezembro eram dedicadas a almoços de confraternização entre fabricantes e distribuidores, o que causava um grande problema de agenda, pois atender aos convites de uns e recusar os de outros acaba se tornando uma representação simbólica de poder. Sabiamente o então presidente da ANDAP, Pedro Molina, propôs a realização de um jantar da entidade, em que fabricantes e distribuidores poderiam estar juntos, confraternizar, em uma única data. De jantar passou para almoço, e de almoço a última edição foi um encontro ao final da tarde. Todos extremamente bem-sucedidos.
Fiz esta pequena digressão para reforçar o fato de que o mês de dezembro, ainda que com uma celebração importante como o Natal, há tempos deixou de ser um mês com menos trabalho. Pelo contrário, trabalha-se tanto ou mais em dezembro em comparação aos demais onze meses do ano. O que acabou se tornando uma prática foi a emenda entre Natal e Ano Novo que eu mesmo adoto há vários anos, retomando as atividades no primeiro dia útil do primeiro mês do ano. E esta realidade se vê refletida nos dados das pesquisas MAPA e ONDA, realizadas de forma sistematizada pelo After. Lab, empresa de pesquisa e inteligência de mercado do Grupo Novo Meio, desde abril de 2020, com a eclosão da pandemia de COVID-19. Trata-se de uma fonte riquíssima de informação para os tomadores de decisão das empresas que compõem a cadeia de valor do mercado de reposição automotiva, pois fornece um diagnóstico semanal do movimento no varejo de autopeças em quatro dimensões: variação de preço, ruptura de abastecimento, variação nas vendas e variação nas compras.
É fundamental aos interessados no segmento estudar o varejo de autopeças, afinal é o ponto de encontro entre a oferta e a demanda, além de ser extremamente sensível e responsivo às variações de mercado, de forma dinâmica. Na análise que fazemos aqui, comparamos os resultados obtidos na coleta semanal de dados realizada junto a mais de 100 empresários do comércio varejista de autopeças entre os anos de 2020 e 2021. Cabe destacar que a partir do próximo mês iremos comparar os resultados relativos a janeiro de 2021 e janeiro de 2022, períodos em que o chamado “novo normal” já é a realidade do mercado. N E a partir de abril, poderemos comparar a série temporal de três anos (2020/2021/2022) e entender de forma mais analítica as rupturas e permanências no mercado desde os primeiros movimentos do coronavírus. Os gráficos que utilizamos em nossa análise são de leitura bastante simples. As linhas vermelhas verticais representam a variação média por região e a variação média do Brasil. O círculo vermelho na linha vertical é a média e os traços superior e inferior representam a dispersão em desvio-padrão (-1 desvio-padrão e +a desvio-padrão). A linha azul tracejada na horizontal representa a média brasileira no período analisado, o que permite verificar o desempenho regional frente ao desempenho nacional. Lembrando que no mês de dezembro não coletamos os dados na última semana do mês e incluímos a primeira semana de janeiro na comparação. Com essas explicações, passemos aos gráficos e à sua análise.
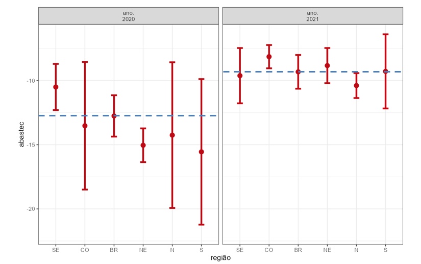
ABASTECIMENTO
A primeira dimensão analisada é a quebra ou ruptura de abastecimento, sempre comparando o desempenho da semana em que é coletado o dado com a semana anterior, e o gráfico a seguir apresenta a variação média por região e nacional relativa aos anos de 2020 e 2021. Observando o lado esquerdo do gráfico, relativo ao ano de 2020, podemos identificar que com exceção da região Sudeste, as demais regiões brasileiras apontavam para uma ruptura média no abastecimento bastante acentuada e abaixo da média nacional, com destaque para a região Sul. Já em 2021, a situação da região Sudeste se inverteu e a região Norte, ainda que com um desempenho pior do que a média nacional, diminuiu a sua variabilidade, mantendo-se de certa forma com uma variação menos abrupta no decorrer das semanas. A diferenças entre a média nacional de 2020 que foi de -13,6% para a média nacional de 2021 que apontou variação de -9,3% é estatisticamente significativa.

PREÇO
No gráfico a seguir vamos analisar a variação média dos preços de aquisição de mercadorias, sempre com relação à semana anterior à coleta de dados. A leitura do gráfico é idêntica à explicada anteriormente: linhas verticais vermelhas representam a variação média por região e a linha horizontal azul representa a média do Brasil. Se em 2020 a média nacional da variação de preços foi de 5,9%, em 2021 esta média ficou em 3,2%, mas ainda estatisticamente significativa. Se as grandes variações de preço semana a semana arrefeceram em 2021, ainda temos que considerar uma variação importante em um mercado que, antes da pandemia, apresentava alguma estabilidade, com os grandes movimentos de preços atrelados de certa forma à variação cambial e à cesta de commodities internacional. Se em 2020 apenas as regiões Sul e Centro-Oeste estiveram abaixo da média nacional de variação de preços, em 2021 apenas a região Sudeste manteve sua posição como acima da média nacional.

VENDAS
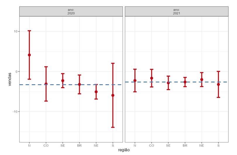
Outro indicador chave para entender o movimento do mercado, a variação nas vendas nos fornece informações sobre o ambiente da demanda, que se materializa nas vendas realizadas pelos varejos de autopeças às oficinas mecânicas e aos donos de carro, e nos possibilita avaliar os apertos no bolso dos proprietários de veículos, e até sua predisposição aos gastos com manutenção automotiva. Vamos ao gráfico. Percebe-se facilmente que as linhas horizontais azul tracejadas não apresentam grande distância entre elas. De fato, a variação média nas vendas nacionais em 2020 foi de -2,5% e em 2021 foi de -2,4%, estatisticamente não significativas. Dois pontos de destaque na análise deste gráfico: (1) a persistência da região Sul em variações negativas maiores do que a média nacional, e (2) a quase linearidade de todas as regiões em relação à média de 2021. Não é de desconhecimento de ninguém o momento complexo que a economia vem passando desde o início da pandemia, e isso a nível global. Dados do IBGE relativos ao consumo das famílias em 2020 apontou uma queda de 5,5%, o que de certa forma mostra a resiliência do mercado de reposição a épocas de crise, mas não somos imunes à vida cotidiana da economia.

COMPRAS
Se a dimensão Vendas nos permite vislumbrar o que vai no mercado como um todo, a dimensão Compras é a que possibilita entender o dia a dia dos varejos de autopeças que tem nesta função grande parte de sua estratégia de negócios. Variações em preços e ruptura de abastecimento têm impacto direto nas decisões de compras pois, diferentemente de um fabricante que jamais perde uma venda para um distribuidor – no máximo posterga a entrega, os agentes comerciais enfrentam a perda da venda cada vez que não há disponibilidade. Assim mudar a estratégia de compras é fundamental para a sobrevivência das lojas de autopeças. Mas o que nos contam os dados? Vamos ao gráfico.
Do mesmo modo que o otimista enxerga o copo meio cheio e o pessimista enxerga o copo meio vazio, a análise deste gráfico permite um olhar ambíguo. Em linhas gerais podemos destacar que a média nacional passou de uma queda de -5% para -3%, o que é uma boa notícia. Entretanto esta diferença não é estatisticamente significativa, o que significa dizer em termos técnicos que não há diferenças reais entre os anos de 2020 e 2021. Como destaques podemos verificar a melhora substantiva da região Nordeste em 2021, com desempenho superior à média nacional e com uma redução importante na variabilidade, e a queda da região Sudeste para um patamar inferior à média nacional em 2021, apontando que nesta região a queda nas compras foi mais sentida.

COMENTÁRIOS FINAIS
Esta análise mensal que fazemos serve como ferramenta para entender de forma objetiva os movimentos do mercado, de forma comparativa, ao longo das semanas. Ressalto, entretanto, que quinzenalmente são divulgados os dados parciais nas edições do Novo Varejo Full Digital (NVFD), permitindo assim que aqueles profissionais interessados em analisar de forma crítica e sem vieses o mercado possa fazê-lo de forma independente. Se você ainda não recebe o NVFD, envie um e-mail para marketing@ novomeio.com.br e teremos imenso prazer em adicionar você para envio quinzenal.
QUER RECEBER MAIS ANÁLISES COMO ESTA TODOS OS MESES? Então assine o Dossiê After.Lab-Varejo de Autopeças, um relatório analítico comentado que traz o resultado das pesquisas MAPA e ONDA do mês e o comparativo VIES, que avalia as movimentações anuais no mês de referência. O Dossiê After.Lab-Varejo de Autopeças é disponibilizado em formato impresso e em vídeo, exclusivo para assinantes. Para saber como assinar fale com [email protected]











