
Marcelo Gabriel – head do After.Lab [email protected]
á ouvimos vários nomes: “novo normal”, “novo possível”, “pós-pandemia”, dentre uma série de outros, mas o fato indiscutível é que estamos vivendo tempos sem precedentes em nossa história e, parafraseando um certo político, “nunca antes na história” passamos por um período tão cheio de indefinições, receios, restrições e preocupações. Para o mundo dos negócios, a pior das variáveis em um modelo é a incerteza pois inviabiliza qualquer tipo de planejamento, deixando as previsões e expectativas sempre à mercê de algo que não se pode prever nem controlar. Nassim Nicholas Taleb, autor de Anti-frágil, Iludidos pelo acaso e Lógica do cisne negro, dentre outros livros de fôlego, chama a atenção para o fato de nossas previsões quase sempre estarem erradas e se somarmos as contribuições da economia comportamental (Kahneman, Tversky e Thaler, para citar os mais prolíficos autores) nossos processos decisórios de fato contradizem a suposta lógica racional.
O que é então o “novo normal”? Todos os dias, desde março de 2020, estamos aprendendo a viver uma normalidade nova, e nossa capacidade de adaptação e resistência é que tem feito a real diferença no mercado, separando os que seguem firmes no jogo e que aqueles que saem do tabuleiro. Nesta edição trazemos o estudo comparativo VIES – Variação nos Índices e Estatísticas Pré e Pós-crise, que compara os resultados das pesquisas MAPA e ONDA realizadas no mês de setembro de 2020 e de 2021. De forma contínua e sistemática, o After.Lab – unidade de pesquisa e inteligência de mercado do Grupo Novo Meio, pergunta semanalmente aos empresários do varejo sobre quatro dimensões básicas dos seus negócios: variação de preço, ruptura no abastecimento, variação nas vendas e nas compras, sempre em relação à semana anterior.
Se no início da pandemia as pesquisas MAPA e ONDA foram pioneiras no diagnóstico do mercado em tempo real, passados quase 18 meses estamos diante de um conjunto sólido e robusto de indicadores, que já se tornaram referência para os interessados no mercado de reposição, ao apontar de forma clara e precisa o movimento do varejo tanto no agregado país, quanto em suas variações regionais.
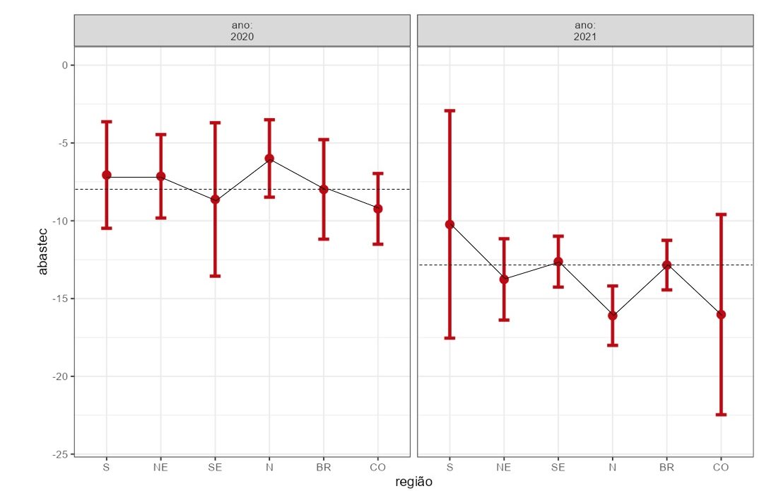
Como fazemos há algumas edições do Novo Varejo, apresentamos a seguir os gráficos comparativos do desempenho mensal em cada uma das dimensões em 2020 e 2021. De fácil interpretação, as linhas verticais em vermelho representam a média (círculo vermelho) com os limites (traços horizontais) indicando 1 desvio-padrão negativo e 1 desvio-padrão negativo de cada região e do agregado país. A linha horizontal tracejada em preto representa a média do agregado país, e a linha contínua preta indica as variações regionais. Começamos, então, pelo gráfico relativo à ruptura no abastecimento, apresentado a seguir.

A análise do gráfico relativo à ruptura do abastecimento no mês de setembro revela que a tendência em 2020 já apontava para uma dificuldade no abastecimento, mas apenas as regiões Sudeste e CentroOeste mostravam um desempenho inferior à média nacional. Já as barras do lado direito do gráfico, relativas ao ano de 2021 mostram uma diferença de 5,82 pontos entre os dois períodos analisados, além da manutenção do desempenho inferior à média nacional na região Centro-Oeste e a aparição das regiões Norte e Nordeste no quadrante inferior à média. O próximo gráfico traz os resultados relativos à variação de preços no mês de setembro, com dados dos anos 2020 e 2021. Novamente a leitura do gráfico é a mesma explicada nos parágrafos anteriores. Em termos absolutos, e como uma eventual medida proxy da inflação do varejo, a média de preços entre os dois períodos variou 3,4 pontos percentuais, levando a uma situação bastante complicada para os gestores e empresários: piora no abastecimento com aumento de preços. Imaginamos que fica difícil até de explicar para os clientes, ali no dia-a-dia do balcão como é possível essa situação. A realidade, nua e crua, é a que apresentamos aqui todos os meses. Vamos ao gráfico.

Se em 2020 apenas as regiões Norte e Nordeste apresentaram uma variação de preços inferior à média nacional, em 2021 vemos a região Nordeste liderando a alta percebida nos preços, enquanto as regiões Centro-Oeste e Sudeste apresentaram aumento de preços inferior à média nacional. Como referência, no mês de setembro de 2020 a variação média dos preços foi de 3,83% e passados 12 meses esta variação chegou a 7,23%, sempre em comparação à semana anterior à coleta dos dados. Cabe lembrar rapidamente a metodologia da coleta de dados das pesquisas MAPA e ONDA.
Todas as semanas entrevistamos 100 empresários do varejo de autopeças, amostrados aleatoriamente dentro da base de dados do Grupo Novo Meio, com quotas amostrais definidas por região. Todas as respostas são anônimas e não nenhum estímulo, incentivo ou sugestão para as respostas. Todos os entrevistados são solicitados a responder às variações em vendas, compras, preço e abastecimento em relação à semana anterior à coleta de dados. O próximo gráfico apresenta os resultados relativos à variação nas vendas.

Se no mês de setembro de 2020 apenas a região Sudeste apresentou um crescimento de vendas próximo a 0 e todas as demais regiões seguiram a média de crescimento nacional (3,03%), o mês de setembro de 2021 apontou uma redução média de 1,38%, sendo destaque apenas a região Sul com pouco mais de 2% de crescimento médio acumulado em relação a agosto de 2021. O próximo gráfico traz o resultado relativo às compras nos meses de setembro de 2020 e setembro de 2021.

onsiderando que os dois lados do gráfico são construídos com a mesma escala, é curioso notar que a variação média nas compras entre os meses de setembro de 2020 e de 2021 é de apenas 0,61%, sendo pior em 2021. Se em 2020 as regiões Centro-Oeste e Norte mostraram uma tendência nas compras positiva e superior à média nacional e às demais regiões, em 2021 a região Norte ainda apresentou um desempenho positivo enquanto a região Nordeste apresentou uma queda abrupta em relação à tendência geral, sendo necessário que observemos se é apenas uma tendência ou se o fenômeno vai se repetir no comparativo dos meses de outubro.
QUER RECEBER MAIS ANÁLISES COMO ESTA TODOS OS MESES? Então assine o Dossiê After.Lab-Varejo de Autopeças, um relatório analítico comentado que traz o resultado das pesquisas MAPA e ONDA do mês e o comparativo VIES, que avalia as movimentações anuais no mês de referência. O Dossiê After.Lab-Varejo de Autopeças é disponibilizado em formato impresso e em vídeo, exclusivo para assinantes. Para saber como assinar fale com [email protected]











