
Por Marcelo Gabriel – head do After.Lab [email protected]
Como sempre comentamos, o mercado de reposição se mostrou extremamente resiliente durante as diferentes ondas da pandemia de coronavírus que se abateu no mundo a partir da segunda semana de março de 2020, e ainda nos assombra com os possíveis desdobramentos.
Já nos primeiros meses da pandemia, em abril de 2020, o after.lab – empresa de pesquisa e inteligência de mercado do Grupo Novo Meio, saiu à frente e estabeleceu como prioridade entender o que estava acontecendo no mercado de reposição, lançando mão de seu conhecimento de mercado, e implementando as pesquisas MAPA e ONDA, que passaram então a coletar semanalmente junto a 100 empresários do varejo de autopeças em todo o Brasil suas informações em quatro dimensões: quebra (ou ruptura) no abastecimento, variação de preço, variação nas vendas e variação nas compras.
De lá para cá são 27 meses de coleta ininterrupta de dados, transformando as pesquisas MAPA e ONDA no maior acervo de dados sobre o comércio varejista de autopeças já registrado no Brasil. E é justamente da análise em conjunto dos dados coletados que nasce mensalmente o boletim VIES (Variações nos Índices e Estatísticas) que você acompanha nas páginas do Novo Varejo Automotivo. Nesta edição inauguramos a análise do VIES contemplando os dados relativos ao mês de junho coletados em três anos distintos: 2020, 2021 e 2022, sempre com a mesma metodologia: os empresários do varejo de autopeças são selecionados aleatoriamente dentro da base de relacionamento do Grupo Novo Meio em função da representatividade da frota demandante em cada região. Com esta amostragem nossa equipe de pesquisas entra em contato para perguntar a variação de cada uma das dimensões, sempre em relação à semana anterior.
Assim, conseguimos identificar as flutuações que são percebidas no dia a dia das lojas de peças de uma forma bastante prática e direta. E os resultados das variações semanais são divulgados na página do Novo Varejo Automotivo. Antes de iniciarmos a análise de cada uma das dimensões, e como fazemos todos os meses, uma breve explicação sobre a leitura dos gráficos que serão apresentados. No eixo horizontal estão representadas as cinco regiões brasileiras (CO, SE, S, NE e N) e o agregado país (com a sigla BR). No eixo vertical os valores em percentual, sempre considerando a variação média de um mês em relação ao mês anterior. As linhas verticais vermelha representam a tendência central (cujo círculo no meio da linha é o valor da média) e a dispersão (os limites superiores e inferiores da linha vertical representam um desvio-padrão) de cada uma das dimensões em cada região. A linha tracejada horizontal em azul representa a média do agregado Brasil e serve como referência para avaliar as regiões em comparação à média brasileira e entre as regiões.
ABASTECIMENTO
Ao analisar o gráfico fica evidente que a quebra/ruptura do abastecimento foi se deteriorando ao longo dos anos. Se em junho de 2020 a média percebida no agregado país no abastecimento era de -1,83%, esta quebra passou para -9,28% em junho de 2021 e alcançou -11,47% em junho de 2022. Para aqueles que se interessam pela estatística, neste caso utilizamos uma ANOVA, com F(2, 9) = 9,875, p = 0,005.
Muito embora seja possível visualizar também as flutuações nas regiões Norte e Sudeste, não encontramos variações estatisticamente significantes.

PREÇO
Pela análise do gráfico, já fica evidente que os reflexos das variações positivas de preço já se faziam sentir em junho de 2020, quando a média do agregado Brasil foi de 4,96%. Já em junho de 2021 a tendência de crescimento também se vislumbra no gráfico, com uma média nacional de 7,28% de aumento nos preços, e chegamos a junho de 2022 com uma percepção de oscilação média no Brasil de 5,14%, com o Nordeste puxando a tendência para cima, com uma média de 5,85% e o Norte como limite inferior, apresentando variação média de 2,50% em junho de 2022. A partir de nossa análise estatística, identificamos que a região Sudeste foi a que apresentou uma variação estatisticamente significante [F(2, 9) = 5,617, p = 0,026], e que pode ser verificada no gráfico que destaca a região.


VENDAS
Observando o gráfico sobre a variação em vendas, fica evidente que no primeiro momento, junho de 2020, as vendas oscilaram positivamente nas regiões Norte, Nordeste e Centro-Oeste, com uma variação sutil (-0,52%) no agregado Brasil.
Mas foi na região Nordeste que os efeitos da variação nas Vendas foi estatisticamente significativa, passando de 2,91% em junho de 2020, para -4,16% em junho de 2021, e para -5,04% em junho de 2022 [F(2, 9) = 8,018, p = 0,010].
Embora as linhas verticais vermelhas apontem para variações negativas ao longo dos três períodos coletados, é possível verificar que o impacto no mercado de reposição foi menor do que em outros segmentos, o que novamente reforça a tese de que somos um segmento resistente a crises, e que para manter mais de 80% da frota circulante em atividade, é o aftermarket automotivo que responde quando convocado.

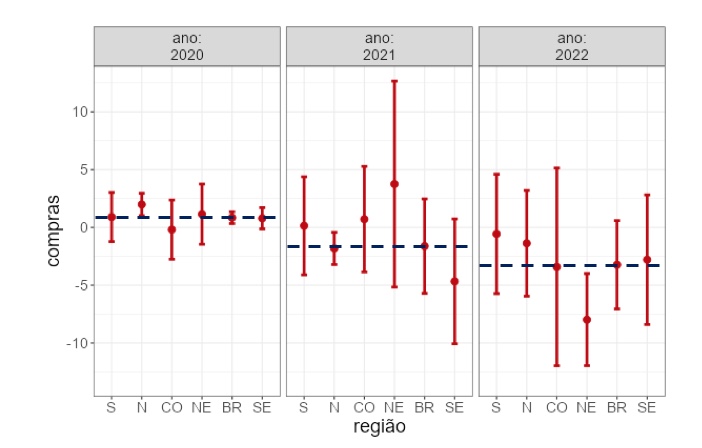
COMPRA
Este gráfico, relativo às variações em Compras, é de certa forma similar ao gráfico relativo às variações em Abastecimento, e estão altamente relacionados uma vez que a compra está associada à disponibilidade e, em momentos de escassez, nos deparamos com uma outra variável que surge: variação em Preços. Esta variação, dentro da teoria econômica clássica pode se traduzir em “guerra de preços” quando a oferta é maior do que a demanda, ou em “ágio”, quando a demanda é maior do que a oferta. Vivemos estes ciclos na prática ao longo destes pandêmicos anos.
Mas foi na região Nordeste em que as variações na Compras mostrou-se de forma estatisticamente significativa [F(2, 9) = 4,460, p = 0,045], com as oscilações se comportando conforme apresentado no gráfico a seguir.


Não sabemos os fatores que levaram à essa variação brusca, mas de qualquer forma temos um ponto de atenção a verificar nos próximos meses, se esse descolamento das demais regiões se explica por alguma variável desconhecida, e que mereça ser incluída na análise.
CONCLUSÕES A dinâmica do mercado de reposição deveria ser objeto de maior atenção dos empresários e executivos envolvidos no ambiente de negócios, visto que se manifesta de forma real e concreta na saúde das empresas. Analisando de forma simultânea os dados relativos aos três meses de junho coletados (2020, 2021 e 2022), observamos que em cada momento e em cada região, além do agregado Brasil, a combinação das variáveis foi mais um menos representativa.
Como exemplo, no agregado país em junho de 2020, as quatro dimensões estudadas (Abastecimento, Preço, Vendas e Compras) ainda estavam passando por momentos específicos de acomodação junto aos agentes do comércio, com variações diferentes em cada uma. Já em junho de 2021, encontramos correlação positiva entre as variações de Preço e Vendas no agregado país que, em junho de 2022, se converteu em correlação positiva entre variação no Abastecimento e nas Compras. E é em relação a esse tipo de postura analítica que nos referimos quando enfatizamos a necessidade dessa atenção dos tomadores de decisão. Na região Centro-Oeste, já em junho de 2020, a correlação positiva se deu entre as variações de Preço e as variações de Compra, que em junho de 2021 se converteu numa correlação positiva entre variação nos Preços e nas Vendas, e em junho de 2022 apontou para correlação positiva entre variação no Abastecimento e nas Compras. E é justamente para suprir a lacuna na informação com base em dados que o after.lab se posiciona no mercado. Nosso propósito é planejar, coletar, analisar e gerar insights a partir das informações obtidas junto a quem vive as realidades do aftermarket no dia a dia. Vem com a gente!











